top of page

projects half developed, thoughts half thought, analysis half analyzed

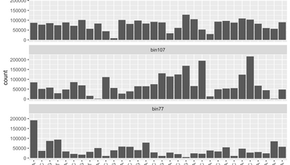
Island size and drift

Among the four rules that govern community assembly, drift is maybe the effect that at the beginning is harder to understand for...

Beginning of a micro-blog

With this blog I just want to have a space to put all random things I do that somehow are either useless, or do not make it to any other...

© 2023 by Microgabri. All rights reserved.

bottom of page